Mnova Combos allow you to enjoy several Mnova plugins at the same time while you get important savings!
|
A versatile, functional program for the quantitation of mixture components by NMR based on chemical shift range integrals.
SMA (Simple Mixtures Analysis by NMR) is only “simple” by name! > GET A LICENSE NOW |
|
|
What’s new in SMA 3.1? ? ??? ??? ??? ??? ??? ?? Improved and re-organized interface for a more intuitive workflow ? ??? ??? ??? ??? ??? ??Support for external reference (PULCON) methods Seamless import and use of AssureNMR methods More flexibility in advanced reporting with the use of a custom configuration file
|
![]() |
SMA
The SMA interface interacts directly with the NMR data! |
Let SMA automatically create standard equations for Concentration and Purity determination. Create your own, bespoke targeted mixture analysis experiment. Use any standard Mnova integration method, including the new, powerful qGSD. Manually check your component compounds and easily change the multiplets used. Interact with a DB of potential components to build a sample-specific analysis “on the fly”. Use the SMA workflow via the User Interface, in Batch Mode, or as Real time processing. |
SMA
There is an almost endless list of applications where SMA will automatically carry out your mixtures analysis for you.
Define the targeted analysis application using the formula editor to be in full control of the quantification.
Recent high-profile cases have brought attention to the need for goodanalytical procedures.
QC and production environments can benefit from automating workflows using SMA.
Design your own experiments, select your mixture components, include/exclude multiplet ranges, set up integration options and formulae, choose colors for display, personalize the alerts, etc and save your experiment in a library for further use and re-use in your organization.
Customize your reports to include the information you need and choose the preferred formats (PDF, MNOVA, HTML, XML, CSV) and layouts.
Import chemical shift ranges, number of nuclides and molecular weight from your Mnova DB and build your SMA experiment with a few buttons clicks!
In addition, when a standard analysis such as concentration or purity determination is required for quantifying several mixtures, SMA can be quickly put to work: a mixture spectrum can be searched against a DB with spectra of potential components to help identify potential components. Potential hits are reported, and the list can be easily refined by a quick visual inspection.
Optimize your workflow and run SMA analyses in automation. Gears SMA will process your raw data in Batches from a specified directory or in Real Time as they are produced by the spectrometer.
Your business will certainly appreciate it!
SMA
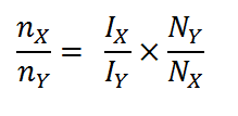
For simple molar ratios between two components you can use the following the general expression:

If for instance you want to estimate the concentration of your mixtures components, then the concentration is determined using the simple equation:

The Concentration Conversion Factor (CCF) is like a “response factor” for NMR that converts the absolute integral/nuclide to concentration. For more information about the CCF factor please see Q: “What exactly is the CCF factor?”
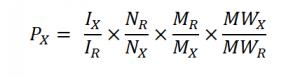
Alternatively if you are aiming to calculate the purity of your mixture components, once you create at least one reference material, the fundamental equation for purity (see below) can be applied.



C ∝ AI/NN (1)
Where C is the concentration of a chemical species, AI is the absolute integral for a multiplet attributable to that species, and NN is the number of nuclides (Hs, usually) for that multiplet. From this we derive:
C= CCF * AI/NN (2)
A proportionality constant which we call the CCF, allows us to convert a measured AI/NN into a concentration. Fundamentally, the CCF only needs to be determined once for an experiment, and then it is applicable to all chemical species in the reaction! Once that has been performed, all other species concentrations can be determined by applying equation (2), where the AI is determined by the software, and NN is provided by the user. For further information about how to calculate the CCF factor you can read the following qNMR_CCF document.
SMA Markets(SMA Users)
|
|
SMA
|
✈:No. 377, Nanjing Road, Shibei District, Qingdao, Shandong
☏:0532-83818797 / 18561885100
✉:changzhu_ ji@tlwb.com.cn shuochao_dai@tlwb.com.cn support@tlwb.com.cn
leam more |
![]() |